Maison 232 m² à Saint-Etienne-De-Montluc

— Saint-Etienne-De-Montluc 44360 —
698 000 €
232 m² / 2 533 m²
11 pièces
parkingbalcon/terrassejardinpiscine

Saint-Étienne-de-Montluc – Maison contemporaine avec piscine dans un environnement privilégié

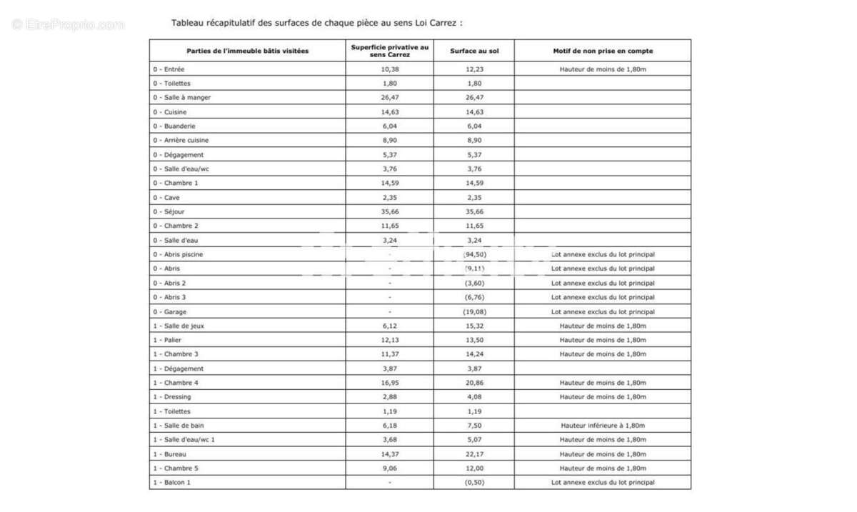
Environ 266 m² au sol 5 chambres Parc arboré de 2 530 m²

À l'abri des regards, dans un quartier résidentiel calme et apprécié, cette propriété contemporaine offre un cadre de vie rare, mêlant volumes généreux, prestations soignées et ouverture sur la nature. Rénovée avec exigence, elle s'adresse à ceux qui recherchent de l'espace, de la lumière et une vraie qualité de vie à proximité de Nantes.

Des espaces de vie ouverts et lumineux
Dès l'entrée, la maison séduit par ses proportions équilibrées et sa circulation naturelle entre les pièces.
Le séjour, largement exposé au sud, profite d'une belle luminosité tout au long de la journée et se prolonge directement vers l'extérieur, créant une continuité fluide entre intérieur et jardin.

Le rez-de-chaussée propose :
- Une vaste pièce de vie réunissant salon et salle à manger
- Une cuisine équipée, fonctionnelle, complétée par une arrière-cuisine et une buanderie
- Deux suites de plain-pied, chacune avec salle d'eau
- Une cave à vin climatisée
- Une grande terrasse d'environ 63 m² tournée vers la piscine et les espaces verts

Un étage modulable selon les besoins

L'étage s'organise autour d'une mezzanine lumineuse desservant :
- Trois chambres, dont une suite parentale avec dressing et salle de bain
- Un bureau fibré, adapté au télétravail

Au-dessus du garage, une pièce indépendante offre de nombreuses possibilités : espace professionnel, salle de sport, atelier ou bureau, avec une vraie séparation des espaces de vie.

Un extérieur pensé pour durer
Implantée sur une parcelle close et paysagée de 2 530 m², la maison profite d'un environnement verdoyant et préservé :
- Piscine chauffée et couverte, utilisable sur une longue période
- Deux dépendances aux usages multiples
- Garage et plusieurs stationnements
- Équipements de sécurité discrets et intégrés (portail motorisé, alarme, vidéosurveillance)

Une propriété cohérente, confortable et parfaitement entretenue, située à moins de 25 minutes de Nantes, idéale pour une vie familiale ou un projet mêlant habitation et activité professionnelle.

Visite sur rendez-vous.
Visite virtuelle disponible sur demande.

---
Les informations sur les risques auxquels ce bien est exposé sont disponibles sur le site Georisque : georisques. gouv. fr
Mathieu Moine - EI - est Agent Commercial mandataire en immobilier, immatriculé au Registre Spécial des Agents Commerciaux du Tribunal de Commerce de Nantes sous le n°891443889.
Siège social du mandant : effiCity, 48 avenue de Villiers - 75017 PARIS - Société par Actions Simplifiée, société au capital de 132 373,05 euros, immatriculée au RCS Paris 497 617 746 et titulaire de la Carte professionnelle CPI 75[Coordonnées masquées]02 025 - CCI Paris IDF - Caisse de Garantie : GALIAN Assurances 89 rue de la Boétie 75008 Paris
Voir plus

Référence: 196083
Honoraires à la charge du vendeur.
Barème des honoraires
DPE
A
B
C
D
E
F
G
GES
A
B
C
D
E
F
G
Maison à SAINT-ETIENNE-DE-MONTLUC
Maison à SAINT-ETIENNE-DE-MONTLUC
Maison à SAINT-ETIENNE-DE-MONTLUC
Maison à SAINT-ETIENNE-DE-MONTLUC
Maison à SAINT-ETIENNE-DE-MONTLUC
Maison à SAINT-ETIENNE-DE-MONTLUC
Maison à SAINT-ETIENNE-DE-MONTLUC
Maison à SAINT-ETIENNE-DE-MONTLUC
Maison à SAINT-ETIENNE-DE-MONTLUC
Maison à SAINT-ETIENNE-DE-MONTLUC
Maison à SAINT-ETIENNE-DE-MONTLUC
Maison à SAINT-ETIENNE-DE-MONTLUC
Maison à SAINT-ETIENNE-DE-MONTLUC
Maison à SAINT-ETIENNE-DE-MONTLUC
Maison à SAINT-ETIENNE-DE-MONTLUC
Maison à SAINT-ETIENNE-DE-MONTLUC
Maison à SAINT-ETIENNE-DE-MONTLUC
Maison à SAINT-ETIENNE-DE-MONTLUC
Maison à SAINT-ETIENNE-DE-MONTLUC
Maison à SAINT-ETIENNE-DE-MONTLUC
Maison à SAINT-ETIENNE-DE-MONTLUC
Maison à SAINT-ETIENNE-DE-MONTLUC
Maison à SAINT-ETIENNE-DE-MONTLUC
Géorisques

Les informations sur les risques auxquels ce bien est exposé sont disponibles sur le site Géorisques : www.georisques.gouv.fr

Ce site est protégé par hCaptcha Politique de confidentialité et Conditions d’utilisation s’appliquent.

En poursuivant votre navigation sans modifier vos paramètres, vous acceptez l'utilisation de cookies susceptibles de réaliser des statistiques de visite. Cliquez ici pour plus d'informations